Impact of maternal age on birth weight-related adverse outcomes in newborns: a retrospective study in south-central China | BMC Pregnancy and Childbirth
General characteristics of participants
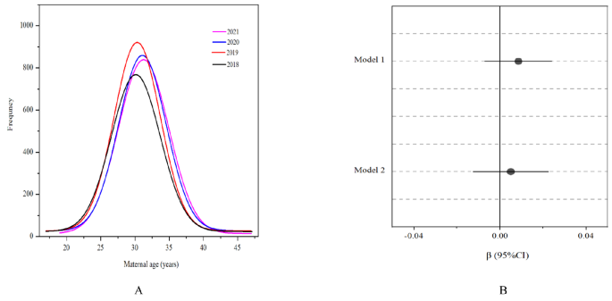
Table 1 presents the general characteristics of the participants. In all, 15,923 pregnant women with a mean age of 31 years (SD = 4 years) were included. The mean gestational weeks was 39 weeks (SD = 1 week). The infants had an average birth weight of 3268 g (SD = 456 g). The prevalence of low birth weight, macrosomia, SGA, LGA, and preterm birth were 4.03%, 5.19%, 2.76%, 24.91%, and 5.23%, respectively. There were significant differences in birth weight and gestational weeks among all adverse birth outcomes. Significant differences among all adverse birth outcomes, except for macrosomia and SGA, were found for maternal age. Mothers with a higher educational level had lower incidences of low birth weight and preterm birth. Maternal multiparas had higher rates of low birth weight, preterm birth, and LGA. Males had higher rates of macrosomia and LGA but lower rates of low birth weight and SGA. In addition, the ages of pregnant women trended upward from 2018 to 2021. The most frequent maternal age increased from 28 years old in 2018 to 31 years old in 2021 (Fig. 1(A)).

(A) Frequncy of materal age from 2018 to 2021; (B) The association of maternal age and birth weight by multiple linear regression analysis. Model 1 was established without any adjustments; Model 2 was adjusted for residence, occupation, education, infant sex, birth year, and parity
Association between maternal age and birth weight
Figure 1(B) shows the results from the linear regression model assessing the association between maternal age and birth weight. No associations were observed between maternal age and birth weight in the unadjusted model or in the model adjusted for residence, occupation, education, infant sex, birth year, and parity.
Figure 2 shows the nonlinear association between maternal age and birth weight using RCS. A nonlinear association was observed in the unadjusted model (P for nonlinear = 0.018) and the model adjusted for residence, occupation, education, infant sex, birth year, and parity (P for nonlinear = 0.028).

The nonlinear relationships between maternal age and birth weight by restricted cubic spline approach. (A) Model 1 was established without any adjustments; (B) Model 2 was adjusted for residence, occupation, education, infant sex, birth year, and parity
Mediating effect of gestational weeks
Table 2 shows the results of analyses of the mediating effect of gestational weeks on the association between maternal age and birth weight. No significant differences were found in the overall effect of maternal age on birth weight, with a direct effect value of 8.346 and a 95% CI of 6.901 to 9.790. In addition, gestational weeks had a masking effect on the association between maternal age and birth weight, with an effect value of -7.368 and a 95% CI for bootstrap of -0.073 to -0.050.
Association between maternal age and birth weight-related adverse outcomes
The results of RCS analyses indicated a nonlinear association between maternal age and macrosomia in the unadjusted model (P for nonlinear = 0.012, Supplemental 1) and model for adjusting for residence, occupation, education, infant sex, birth year, parity, and gestational week (P for nonlinear = 0.009, Fig. 3(B)). Moreover, maternal age was positively associated with low birth weight in the unadjusted model (Supplemental 1), but no association was found after adjusting for residence, occupation, education, infant sex, birth year, and parity (Fig. 3(A)). Positive associations were found between maternal age, and LGA and preterm birth in the unadjusted model and the model after adjusting for residence, occupation, education, infant sex, birth year, and parity (Supplemental 1 (D) and (E) and Fig. 3(D) and (E).
Table 3 details the association between maternal age and adverse birth outcomes in the logistic regression model. Maternal age was a risk factor for low birth weight (OR = 1.047, 95% CI: 1.027–1.067, P < 0.001) in the unadjusted model, but no association was found after adjusting for residence, occupation, education, infant sex, birth year, and parity. No association was found between maternal age and macrosomia. In addition, maternal age was a risk factor for LGA (OR = 1.016, 95% CI: 1.006–1.027, P = 0.002) and preterm birth (OR = 1.028, 95% CI: 1.008–1.049, P = 0.005) after adjusting for confounding factors.

The nonlinear relationships between maternal age with adverse pregnancy outcome by restricted cubic spline approach. (A) Low birth weight; (B) Macrosomia; (C) SGA; (D) LGA; (E) Perterm birth. Adjusting for residence, ocuppation, education, infant gender, birth year, and parity
link
